Il problema della determinazione (misura e distribuzione) dei volumi lungo il tracciato stradale è di fondamentale importanza per ricavare il costo del trasporto dei movimenti di terra lungo l’asse stradale.
Per solido stradale s’intende il solido delimitato dal piano di campagna, dalla piattaforma stradale, dalle scarpate e dalle due sezioni terminali del tronco considerato.
Per calcolarne il volume, possiamo assimilare la forma del solido stradale a quella di un prismoide: si definisce prismoide un solido formato da due basi con lo stesso numero di lati ma di dimensione qualunque che devono essere parallele, che traslano su generatrici che creano trapezi o rettangoli.
Secondo la formula di Torricelli, il volume è calcolato come:

Dove: A1 e A2 sono le aree delle sezioni d’estremità (poste a distanza d) e Am è l’area della sezione a distanza d/2 dalle sezioni d’estremità.
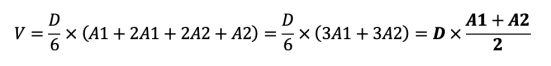
Se si ipotizza che Am = (A1 + A2)/2 la formula del Torricelli diventa:

Ovvero la media delle aree per la distanza.
In questo caso occorre tener presente che il metodo delle sezioni ragguagliate fornisce un volume maggiore rispetto a quello del Torricelli, ma che si può considerare questo metodo cautelativo nella valutazione del costo della strada.
Tale metodo è utilizzato per costruire il diagramma delle aree: in ascissa vengono riportate le distanze (tra sezioni stradali), in ordinata vengono riportate le aree delle sezioni stradali.
Per convenzione le aree di sterro si riportano nell’ordinata positiva (verso l’alto), le aree di riporto nell’ordinata negativa (verso il basso).
L’area sottesa al diagramma delle aree tra due sezioni rappresenta il volume del solido stradale tra le due sezioni stesse: non a caso, la formula delle sezioni ragguagliate è uguale alla formula dell’area di un trapezio di basi A1 e A2 e altezza pari alla distanza tra le sezioni.

Cosa succede però se le nostre aree non sono omogenee (sterro-sterro o riporto -riporto)? ma non omogenee (riporto e sterro)?
Se andiamo a disegnare due sezioni e le rappresentiamo nel diagramma delle aree, con la distanza tra le due sull’asse delle x, il valore delle aree sull’asse delle y, lo sterro sul semiasse positivo e il riporto negativo, otteniamo la figura sottostante.

Il volume del solido non è più quello di un trapezio, ma di due triangoli la cui area è data da base per altezza diviso 2 ovvero:

Nell’equazione però abbiamo due incognite: VS e ds (e anche VR e dr)
Possiamo però scrivere una proporzione tenendo conto che i triangoli AA’P e BB’P sono simili (rettangoli con angoli in P uguali perchè opposti al vertice). Otteniamo quindi:
S1 : R2 = ds : dr
Usiamo a questo punto il teorema del comporre delle proporzioni e sostituiamo al secondo e quarto membro, la somma tra i membri dello stesso lato dell’uguale:
S1: (S1+R2) = ds : (ds + dr)
A questo punto abbiamo un’unica incognita – ds – poichè il quarto membro in realtà è pari alla distanza tra le due sezioni.

Andiamo a sostituire l’equazione appena scritta nella formula del calcolo del volume:

E analogamente per il volume di riporto

Questo metodo si userà quindi per il calcolo del volume del solido stradale tra tutte le sezioni, divise per fasce in base alla posizione dei punti di passaggio, ottenendo così solidi omogenei o non omogenei.
Qui di seguito i video per il calcolo del volume del solido stradale: nella prima parte, la trattazione teorica applicata alle sezioni; nella seconda parte l’esempio pratico con il calcolo mediante excel.
VIDEO CALCOLO ANALITICO DEI VOLUMI – parte prima
VIDEO CALCOLO ANALITICO DEI VOLUMI – parte seconda
Segue il DIAGRAMMA DELLE MASSE.